
丸子要打人了。

PS:丸子怎么走弯路了。
每日轻松一刻、搞笑段子
最近风大,关注备用号,每天更新

大学生身败名裂的一天。

PS:以后能不能直接搞个签名墙。

牛的生长环境比我健康。

PS:牛长期生气会不会气血不足。

饺子自己包可还行。

PS:纯打工水饺。

第一次直观的感受到悲伤这么容易转移。

PS:只是翻倍了罢了。

男子汉大mama。

PS:找个男对象不就行了。

从未这么真心实意的喜欢过一个小孩。

PS:以后换座的都按这个标准来。

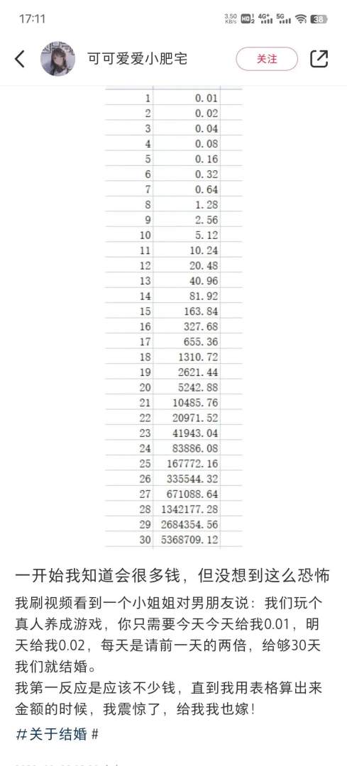
这数学学的是真好呀。

PS:估计感情只能维持18天。

一次得罪三个省。

PS:怪不得你叫局外人。

这就是总裁的100平米大床吗?

PS:晚上上厕所都要走半里地吧。

这不是故意玩梗嘲讽拉腿的吗?

PS:睡裤上的兔子都拉成驴了。

关于男朋友的妈妈是i人这件事。

PS:婚礼是不是都不会到现场。

美术生不要过于离谱了。

PS:小小年纪就一把年纪。

这是如何做到的?

PS:这刀不得弄崩口啊。

好像也没有什么违和感。

PS:注入灵魂的眼睛。

这种找歌方式还是太超前了。

PS:想去听听验证一下。

因为不愿意帮公司打扫卫生被辞退了。

PS:请问这样可以申请劳动仲裁吗?

吴磊本人都生不出这么像的。

PS:薛之谦有没有吓一跳。

有种被叫网名的羞耻感。

PS:为了不尴尬,
还是起一个好听的网名吧。

近期广东省的降温速度。

PS:这温度是在蹦迪吗靓仔?

头一次对总裁200平的大床有了实感。

PS:要是想上厕所得爬好久。

更适合中国宝宝的汉堡—汉字堡。

PS:感觉会有点噎。

每天开一年级的笔袋像开盲盒一样。

PS:就是捡不到自己的笔。

前男友凌晨2点打了4个电话给我,
让我哄他女朋友?
坏了!我成他们play的一环了?

***以上素材均来源于网络,侵删***
各位兄弟,帮点个赞吧!胆大的兄弟,帮点个在看!
↘↘↘
↙↙↙更多精彩






最新评论